Skip to Content
Merck
CN

N5130

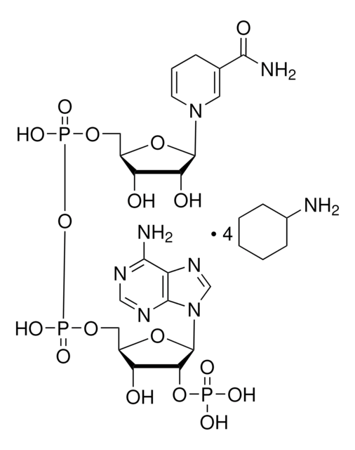
β-Nicotinamide adenine dinucleotide phosphate, reduced tetra(cyclohexylammonium) salt

≥93%

Synonym(s):

β-NADPH, NADPH, TPNH, Triphosphopyridine nucleotide, reduced form

Sign In to View Organizational & Contract Pricing.

Select a Size

Change View

About This Item

Empirical Formula (Hill Notation):
C21H30N7O17P3 · 4C6H13N
CAS Number:
Molecular Weight:
1142.12
NACRES:
NA.51
PubChem Substance ID:
UNSPSC Code:
41106305
MDL number:
Assay:
≥93%
Form:
powder
Storage temp.:
−20°C
Technical Service
Need help? Our team of experienced scientists is here for you.
Let Us Assist


Quality Level

assay

≥93%

form

powder

cation traces

Na: ≤0.1%

storage temp.

−20°C

SMILES string

NC1CCCCC1.NC2CCCCC2.NC3CCCCC3.NC4CCCCC4.NC(=O)C5=CN(C=CC5)[C@@H]6O[C@H](COP(O)(=O)OP(O)(=O)OC[C@H]7O[C@H]([C@H](OP(O)(O)=O)[C@@H]7O)n8cnc9c(N)ncnc89)[C@@H](O)[C@H]6O

InChI

1S/C21H30N7O17P3.4C6H13N/c22-17-12-19(25-7-24-17)28(8-26-12)21-16(44-46(33,34)35)14(30)11(43-21)6-41-48(38,39)45-47(36,37)40-5-10-13(29)15(31)20(42-10)27-3-1-2-9(4-27)18(23)32;4*7-6-4-2-1-3-5-6/h1,3-4,7-8,10-11,13-16,20-21,29-31H,2,5-6H2,(H2,23,32)(H,36,37)(H,38,39)(H2,22,24,25)(H2,33,34,35);4*6H,1-5,7H2/t10-,11-,13-,14-,15-,16-,20-,21-;;;;/m1..../s1

InChI key

PTKRUDMLGIIORX-ITGWJZMWSA-N

Application

β-Nicotinamide adenine dinucleotide 2′-phosphate (NADP+) and β-Nicotinamide adenine dinucleotide 2′-phosphate, reduced (NADPH) comprise a coenzyme redox pair (NADP+:NADPH) involved in a wide range of enzyme catalyzed oxidation reduction reactions. The NADP+/NADPH redox pair facilitates electron transfer in anabolic reactions such as lipid and cholesterol biosynthesis and fatty acyl chain elongation. The NADP+/NADPH redox pair is used in a variety of antioxidation mechanism where it protects agains reactive oxidation species accumulation. NADPH is generated in vivio by the pentose phosphate pathway (PPP).

Biochem/physiol Actions

Electron donor; cofactor for nitric oxide synthetase

Preparation Note

Chemically reduced.


Storage Class

11 - Combustible Solids

wgk

WGK 3

flash_point_f

Not applicable

flash_point_c

Not applicable

ppe

Eyeshields, Gloves, type N95 (US)



Choose from one of the most recent versions:

Certificates of Analysis (COA)

Lot/Batch Number

Don't see the Right Version?

If you require a particular version, you can look up a specific certificate by the Lot or Batch number.

Already Own This Product?

Find documentation for the products that you have recently purchased in the Document Library.

Visit the Document Library



Contribution of Pulmonary CYP-mediated Bioactivation of Naphthalene to Airway Epithelial Injury in the Lung.
Kovalchuk, et al.
Toxicological Sciences, 177, 334-346 (2021)
Xue-Qian Sun et al.
International immunopharmacology, 74, 105634-105634 (2019-06-30)
Heme oxygenase-1 (HO-1) plays a critical protective role in various insults-induced acute lung injury (ALI) through its strong anti-inflammatory, anti-oxidant, and anti-apoptotic properties, but its protective role and mechanism on seawater aspiration-induced acute lung injury remains unclear. This study aimed
Grant R Drummond et al.
Nature reviews. Drug discovery, 10(6), 453-471 (2011-06-02)
NADPH oxidases are a family of enzymes that generate reactive oxygen species (ROS). The NOX1 (NADPH oxidase 1) and NOX2 oxidases are the major sources of ROS in the artery wall in conditions such as hypertension, hypercholesterolaemia, diabetes and ageing



Global Trade Item Number

SKUGTIN
N5130-25MG04061835558032