Skip to Content
Merck
CN

1335304

USP

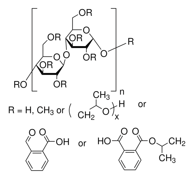
Hypromellose phthalate

United States Pharmacopeia (USP) Reference Standard

Synonym(s):

Hydroxypropyl methyl cellulose phthalate

Sign In to View Organizational & Contract Pricing.

Select a Size

Change View

About This Item

CAS Number:
UNSPSC Code:
41116107
NACRES:
NA.24
MDL number:
Technical Service
Need help? Our team of experienced scientists is here for you.
Let Us Assist


grade

pharmaceutical primary standard

API family

hypromellose

manufacturer/tradename

USP

mp

>145 °C (dec.) (lit.)

density

0.6 g/mL at 25 °C (lit.)

application(s)

pharmaceutical (small molecule)

format

neat

SMILES string

[n]1(c2c(nc1)c(nc3c2cccc3)N)CC(C)C

InChI

1S/C14H16N4/c1-9(2)7-18-8-16-12-13(18)10-5-3-4-6-11(10)17-14(12)15/h3-6,8-9H,7H2,1-2H3,(H2,15,17)

InChI key

DOUYETYNHWVLEO-UHFFFAOYSA-N

General description

This product is provided as delivered and specified by the issuing Pharmacopoeia. All information provided in support of this product, including SDS and any product information leaflets have been developed and issued under the Authority of the issuing Pharmacopoeia.For further information and support please go to the website of the issuing Pharmacopoeia.

Application

Hypromellose phthalate USP reference standard, intended for use in specified quality tests and assays as specified in the USP compendia.

Analysis Note

These products are for test and assay use only. They are not meant for administration to humans or animals and cannot be used to diagnose, treat, or cure diseases of any kind.  ​

Other Notes

Sales restrictions may apply.


Still not finding the right product?

Explore all of our products under Hypromellose phthalate


Storage Class

11 - Combustible Solids

flash_point_f

Not applicable

flash_point_c

Not applicable



Choose from one of the most recent versions:

Certificates of Analysis (COA)

Lot/Batch Number

It looks like we've run into a problem, but you can still download Certificates of Analysis from our Documents section.

If you need assistance, please contact Customer Support

Already Own This Product?

Find documentation for the products that you have recently purchased in the Document Library.

Visit the Document Library



Global Trade Item Number

SKUGTIN
343358-1KG04061826758137
343358-25G04061826758144
1335304-100MG04061833860243