Sign In to View Organizational & Contract Pricing.
Select a Size
Change View
About This Item
Empirical Formula (Hill Notation):
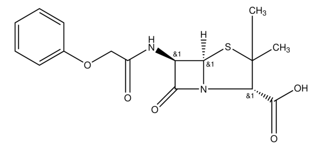
C16H18N2O5S
CAS Number:
Molecular Weight:
350.39
NACRES:
NA.24
PubChem Substance ID:
UNSPSC Code:
41116107
EC Number:
201-722-0
MDL number:
grade
pharmaceutical primary standard
API family
penicillin & derivatives
manufacturer/tradename
USP
application(s)
pharmaceutical (small molecule)
format
neat
SMILES string
CC1(C)S[C@@H]2[C@H](NC(=O)COc3ccccc3)C(=O)N2[C@H]1C(O)=O
InChI
1S/C16H18N2O5S/c1-16(2)12(15(21)22)18-13(20)11(14(18)24-16)17-10(19)8-23-9-6-4-3-5-7-9/h3-7,11-12,14H,8H2,1-2H3,(H,17,19)(H,21,22)/t11-,12+,14-/m1/s1
InChI key
BPLBGHOLXOTWMN-MBNYWOFBSA-N
General description
This product is provided as delivered and specified by the issuing Pharmacopoeia. All information provided in support of this product, including SDS and any product information leaflets have been developed and issued under the Authority of the issuing Pharmacopoeia.
For further information and support please go to the website of the issuing Pharmacopoeia.
For further information and support please go to the website of the issuing Pharmacopoeia.
Application
Penicillin V USP reference standard, intended for use in specified quality tests and assays as specified in the USP compendia.
Analysis Note
These products are for test and assay use only. They are not meant for administration to humans or animals and cannot be used to diagnose, treat, or cure diseases of any kind.
Other Notes
Sales restrictions may apply.
signalword
Danger
hcodes
Hazard Classifications
Resp. Sens. 1 - Skin Sens. 1
Storage Class
11 - Combustible Solids
flash_point_f
Not applicable
flash_point_c
Not applicable
Regulatory Information
涉药品监管产品
This item has
Choose from one of the most recent versions:
Already Own This Product?
Find documentation for the products that you have recently purchased in the Document Library.
Global Trade Item Number
| SKU | GTIN |
|---|---|
| 1504489-200MG | 04061833853245 |
