
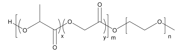
Poly(ethylene glycol) methyl ether-block-poly(lactide-co-glycolide)

Synonym(s):
mPEG-b-PLGA
Linear Formula:
H[(C3H4O2)x(C2H2O2)y]mO[C2H4O]nCH3
Products
Product Category
Brand
Color
Physical Form
Quality Segment
Polymer Composition
Polymer Type
Showing 1-14 of 14
Compare
Product Number
Description
Pricing