Enzymatic Reactions in Ionic Liquids
Dr. F. Bordusa, Max Planck Research Unit for Enzymology of Protein Folding, Weinbergweg 22, 06120 Halle/Saale, Germany.
During the last years, a number of enzyme-mediated synthesis reactions in Ionic Liquids were established. In comparison to reactions in classical organic solvents, they showed usually higher enzyme activities and stabilities. Furthermore, the regio-, stereo-, and enantio-selectivites were improved.
Recently, lipases showed the most promising results in Ionic Liquids. One of the most popular lipase for synthetic use is the Candida antarctica lipase (CALB). CALB catalyzes the enantioselective acylation of 1-phenylethylamine with 4-pentenoic acid (Scheme 1).

Scheme 1.CALB catalyzes the enantioselective acylation of 1-phenylethylamine with 4-pentenoic acid
In Ionic Liquids, the enantiomeric excess of the resulting amide is over 99%. In a solvent-free system, only 59% ee was achieved.1 The highest conversion rates are reached in 1-butyl-2,3-dimethylimidazolium trifluoro-methanesulfonate (00765) and 1-ethyl-3-methylimidazolium trifluoromethanesulfonate (04367).2
Similarly, in CALB-mediated trans-esterification reactions with ethyl butanoate, higher conversion rates were observed in 1-butyl-3-methylimidazolium hexafluorophosphate (70956) than in classical organic solvents.3
Because of the stabilizing effect of Ionic Liquids, enzymatic resolution of a Lotrafiban-precursor with CALB allows an increase of the reaction temperature up to 75°C if 1-butyl-3-methylimidazolium hexafluorophosphate is used as solvent (Scheme 2). This leads to a four-fold enhancement of the initial rate of product formation compared to t-butanol.4

Scheme 2.Because of the stabilizing effect of Ionic Liquids, enzymatic resolution of a Lotrafiban-precursor with CALB allows an increase of the reaction temperature up to 75°C if 1-butyl-3-methylimidazolium hexafluorophosphate is used as solvent
Also, Candida rugosa lipase (CRL) shows activity in Ionic Liquids. Methyl-6-O-trityl-glucosides and galactosides can be acylated enzymatically by CRL (Scheme 3). The regioselectivity of this reaction is increased from 80% in THF to over 98% in 1-butyl-3-methylimidazolium hexafluorophosphate as solvent.5

Scheme 3.
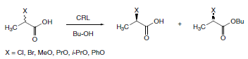
CRL similarly mediates the esterification of 2-substituted propanoic acids with butanol (Scheme 4). The enantioselectivity of this reaction is enhanced by using 1-methyl-3-octylimidazolium hexafluorophosphate (69230). In this solvent, CRL can be recycled five times without appreciable decrease of activity or enantioselectivity.6

Scheme 4.CRL similarly mediates the esterification of 2-substituted propanoic acids with butanol.
The PEG-lipase PS from Pseudomonas cepacia can catalyze the alcoholysis between vinyl cinnamate and benzyl alcohol (Scheme 5). This reaction proceeds with an eight-fold higher enzyme activity in 1-octyl-4-methylimidazolium hexafluorophospate than in an organic solvent system.7

Scheme 5.The PEG-lipase PS from Pseudomonas cepacia can catalyze the alcoholysis between vinyl cinnamate and benzyl alcohol
The PS-C lipase from Pseudomonas cepacia hydrolyzes 3,4,6-tri-O-acetyl-D-glucal (Scheme 6). In 1-butyl-3-methylimidazolium hexafluorophosphate, the regioselectivity is increased up to 80%, whereas the regioselectivity in THF is lower than 20%.8

Scheme 6.The PS-C lipase from Pseudomonas cepacia hydrolyzes 3,4,6-tri-O-acetyl-D-glucal
The serine-protease α-chymotrypsin mediates the synthesis of N-acetyl-L-tyrosine propyl ester through a trans-esterification reaction in Ionic Liquids starting from the ethyl ester. In 1-butyl-3-methylimidazolium hexafluorophosphate and 1-ethyl-3-methylimidazolium bis(trifluoro-methylsulfonyl)imide (11291), α-chymotrypsin shows a clear enhancement in enzyme stability and conversion rates in comparison to propanol.9 BL-alcalase, a commercially available serine-type endo-proteinase from Bacillus licheniforms, can catalyse the enzymatic resolution of a homophenylalanine ester in Ionic Liquids (Scheme 7). In 1-ethyl-3-methylimidazolium tetrafluoroborate (04365) and 4-ethylpyridinium tetrafluoroborate, high optical purity and yields are achieved.10

Scheme 7.BL-alcalase can catalyse the enzymatic resolution of a homophenylalanine ester in Ionic Liquids
Metalloproteases are applicable in Ionic Liquids. The zinc-protease thermolysin is used for the enzymatic synthesis of (Z)-aspartame. Thermolysin activity in 1-butyl-3-methylimidazolium hexafluoro-phosphate reaches the same order of magnitude as in conventional organic solvents. The enzymatic stability is as good as the stability of immobilized enzymes.11
Etherhydrolases also work in Ionic Liquids. The enzyme (recombinant soluble epoxide hydrolase)12 hydrolyzes trans-β-methylstyrene oxide through a stereoconvergent process to give the corresponding optically active (1S,2R)-erythro-1-phenylpropane-1,2-diol (Scheme 8). In 1-butyl-3-methylimidazolium hexafluorophosphate, an enantiomeric excess of 90% is achieved.13

Scheme 8.The enzyme hydrolyzes trans-β-methylstyrene oxide to give (1S,2R)-erythro-1-phenylpropane-1,2-diol
The β-galactosidase from Bacillus circulans is able to catalyze the synthesis of N-acetyllactosamine in a trans-glycosylation reaction (Scheme 9). The addition of 25% 1,3-dimethylimidazolium dimethyl-sulfate suppresses the secondary hydrolysis of the product, which doubles the yield of the reaction to almost 60% compared to conventional organic media.14

Scheme 9.The β-galactosidase from Bacillus circulans is able to catalyze the synthesis of N-acetyllactosamine in a trans-glycosylation reaction
We offer a collection of Ionic Liquids suitable for bioorganic transformations and enzyme-mediated reactions.
Materials
References
To continue reading please sign in or create an account.
Don't Have An Account?