NTz Building Blocks for Organic Semiconductors
Fax: +81-48-462-1473
Introduction
The field of organic electronics has emerged as the next-generation technology potentially enabling ultra-thin, large-area, and/or flexible devices, consisting of organic field-effect transistors (OFETs), organic light-emitting diodes (OLEDs), and organic photovoltaics (OPVs). Since these devices can be produced by low-cost and low-energy consumption processes, e.g. printing process, organic electronics is expected to offer significant differentiation from the conventional electronics technology based on inorganic materials.1,2 Although performances of the organic material based electronic devices had been lower than those of conventional inorganic material based ones, continuous research efforts in the last two decade have largely improved the performances of, in particular, semiconducting polymer-based OFETs and OPVs.3
One of the most important issues in developing semiconducting polymers is to control the electronic structures of polymer backbone, namely highest occupied molecular orbital (HOMO) and lowest unoccupied molecular orbital (LUMO). For instance, the energy levels of HOMO (EHOMO) and LUMO (ELUMO) should be as close as the work function of the electrode for the efficient carrier (hole or electron) injection, and as low as possible for the ambient stability and durability of p- and n-channel OFETs, respectively.4 In OPVs, on the other hand, the open circuit voltage (Voc) is generally proportional to the energy difference between the EHOMO of the donor materials, such as p-type polymers, and ELUMO of the acceptor materials, such as fullerene derivatives.5 In this regard, the design and choice of building blocks that constitute the polymer backbone is a key. It is also important to notice that the structural factors of building blocks, such as length, planarity, and symmetry, affect the packing structure, crystallinity, and molecular orientations in the thin film state of the polymers. Currently the most successful molecular design strategy for high-performance semiconducting polymers is to use the donor-acceptor backbone structure, where electron-donating unit (D-unit) and electron deficient or electron-accepting unit (A-unit) are alternately linked in the polymer backbone. Compared to the large variety of D-units with different electron donating ability, extent of p-conjugation, molecular size, rigidity, and so on, the number and type of A-units are relatively limited. 2,5-dihydropyrrolo[3,4-c]pyrrole-1,4-dione (diketopyrrolopyrrole; DPP) (Prod. No. 767743), benzo[c][1,2,5]thiadiazole (BTz) (Prod. No. B10900), thieno[3,4-c]pyrrole-4,6-dione (TPD) (Prod. No. 759910, 747114, and 766585), and 1,4,5,8-naphthalenedicarboximide (NDI) (Prod. No. 768464) are examples of commercially available A-units. For this reason, the development of new A-unit that can be integrated into polymer backbone has been an important issue.
Naphtho[1,2-c:5,6-c']bis[1,2,5]thiadiazole
Naphtho[1,2-c:5,6-c']bis[1,2,5]thiadiazole (NTz) (Prod. No. 795372)6 can be viewed as a doubly BTz-fused tetracyclic system and classified into heteroaromatic-fused compounds, similar to thienoacenes (ladder-type thiophene-containing π-conjugated molecules), which have been recently focused as promising organic semiconductors. In fact, 1,2,5-thiadiazole fused in the NTz framework is of isoelectronic structure with thiophene, the most frequently used heteroaromatic compound, and interestingly the aromaticity of 1,2,5-thiadiazole is known to be greater than that of thiophene.7 The electronic nature of 1,2,5-thiadiazole, however, is strikingly different from that of thiophene, owing to the presence of two electron deficient nitrogen atoms similar to that in pyridine. As a result, the calculated energy levels of 1,2,5-thiadiazole (EHOMO: –6.53 eV, ELUMO: –2.30 eV) are lower than those of thiophene (EHOMO: –6.34 eV, ELUMO: –0.21 eV), and in particular the LUMO energy level of the former is markedly stabilized. The theoretical calculations also predict that the dipole moment of 1,2,5-thiadiazole (1.54 Debye) is significantly larger than that of thiophene (0.63 Debye). These electronic characteristics of 1,2,5-thiadiazole contribute to the unique properties of NTz in combination with its planar and centrosymmetric C2h molecular structure: e.g., low-lying HOMO and LUMO energy level (EHOMO: –6.45 eV, ELUMO: –2.85 eV, theoretical calculations), locally polarizable nature, and pseudo quinoidal structure in the naphthalene moiety. All these characteristics of NTz can be useful in the development of electronic materials, in particular semiconducting polymers, via tuning the backbone structure, HOMO and LUMO energy levels, bandgap (Eg), and so on.
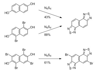
Historical aspect and preparation of the NTz framework
NTz is a relatively new chemical structure, which was first synthesized in 1991 by Mataka and coworkers (Scheme 1).8 After the first publication, no reports describing its chemistry or applications had appeared, except one patent document,9 until very recently when a copolymer (P1) consisting of NTz and benzo[1,2-b:4,5-b']dithiophene10 and P2 with NTz and quaterthiophene11 have been reported. Such long absence of interests in NTz-based materials, despite its promising feature as discussed above, can be due to the lack of suitable synthetic methods of NTz framework itself. As shown in Scheme 1, the NTz framework was constructed by a reaction of naphthalene dioles with tetrasulfur tetranitride (N4S4) as the key step. Although the yields of NTz derivatives were moderate to high, the drawback of the method is the use of N4S4, which is known as a highly explosive chemical.12,13 Fortunately, a much safer and practical preparation method without the use of N4S4 has been recently reported.14 Furthermore, chemical conversions of the parent NTz into derivatives with reacting groups such as bromine10 and boronic ester (Prod. No. 795518)15 have been developed (Scheme 2) and utilized in the palladium catalyzed cross-coupling reactions to synthesize various NTz-based electronic materials including both p-type (P1–P6, Figure 1)10,11,16-19 and n-type semiconducting polymers.20

Scheme 1. Preparation of the NTz framework using N4S4.

Scheme 2. Conversion of the parent NTz to its derivatives with reactive functional groups.

Figure 1. Chemical structures of some representative NTz-based semiconducting polymers.
Semiconducting polymers consisting of the NTz building block
Although some of NTz-embedded semiconducting polymers can be utilized in solution processed OFETs showing high hole (~ 0.6 cm2 V–1 s–1)11,16 or electron mobility (~ 0.2 cm2 V–1 s–1),20 quite a few promising results with impressively high power conversion efficiency (PCE) have been reported for bulk-heterojunction solar cells consisting of NTz-based polymers and fullerene derivatives (Table 1). Common features in these NTz-based polymers are relatively low-lying EHOMO and small Eg, the former of which seems to be a major cause for relatively large open circuit voltages (VOC) (> 0.75 V), whereas the latter can contribute to enhance the short circuit current density (JSC). Another characteristic feature often observed in the NTz-based polymer solar cells is the high crystallinity of polymers with characteristic face-on orientation.11,17,20 This is believed to be important particularly for the efficient extraction of generated charge carriers in the photoactive layer to the electrode. Indeed, these electronic and structural features can be viewed as positive consequences of the presence of NTz in the polymer backbone. As a result, high-performance solar cells with PCEs greater than 5% were reported even in the synthetic papers, where extensive device optimizations were not carried out. It should be noted that P4-based solar cell showing PCEs as high as 8.2% is one of the highest among organic solar cells using newly developed semiconducting polymers.
a Estimated from the oxidation potential electrochemically determined unless otherwise stated. b Estimated from the reduction potential electrochemically determined. c Estimated from the absorption onset. d Mobility in the out-of-plane direction determined by the SCLC method. e Determined by photoelectron spectroscopy in air (PESA). f Not reported.
P1 has been recently utilized in several studies including the elucidation of polymer backbone orientation and domain purity/miscibility,21 and optimization of solar cell performances using additive and/or different device architecture.22 From these studies, it turned out that the inverted device structure with interfacial engineering by employing a conjugated polyelectrolyte can significantly improve the solar cell performances with PCEs of up to 8.4%.23 Quite impressive achievements in solar cell performance have also been reported for P2 (or P2')-based devices. Original PCE of 6.3% for P2/PC61BM (Prod. Nos. 684457, 684449 and 684430) -based solar cells with the conventional device structure has been greatly enhanced beyond 10% by the inverted cell structure and PC71BM (Prod. No. 684465) as the acceptor,23,24 which is currently one of the few single-junction solar cells with PCE > 10%.
Summary
After more than two decades since the first report, NTz has now become an available building block for the development of p-conjugated materials. Although the number of examples of NTz-based materials is still limited, the potential of NTz as an electron deficient building block with extended p-conjugation has been already well-proven. Thanks to the improved preparation of NTz itself and development of useful NTz derivatives with reactive functionalities, further evolution of NTz-based materials is expected, and such materials will contribute to the development of organic electronics in the near future.
Materials
References
To continue reading please sign in or create an account.
Don't Have An Account?