跳转至内容
Merck
CN

600148

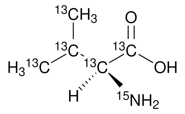
L-缬氨酸-13C5,15N

98 atom % 15N, 98 atom % 13C, 95% (CP)

别名:

L-Valine-ul-13C,15N

登录 查看组织和合同定价。

选择尺寸

变更视图

关于此项目

线性分子式:
(13CH3)213CH13CH(15NH2)13CO2H
化学文摘社编号:
分子量:
123.10
NACRES:
NA.12
PubChem Substance ID:
UNSPSC Code:
12352209
MDL number:
Isotopic purity:
98 atom % 13C, 98 atom % 15N
Assay:
95% (CP)
Mass shift:
M+6
Form:
solid
技术服务
需要帮助?我们经验丰富的科学家团队随时乐意为您服务。
让我们为您提供帮助


Quality Level

isotopic purity

98 atom % 13C, 98 atom % 15N

assay

95% (CP)

form

solid

optical activity

[α]25/D +26.6°, c = 1 in 5 M HCl

technique(s)

bio NMR: suitable, protein expression: suitable

mp

295-300 °C (subl.) (lit.)

mass shift

M+6

storage temp.

room temp

SMILES string

[H][13C@]([15NH2])([13CH]([13CH3])[13CH3])[13C](O)=O

InChI

1S/C5H11NO2/c1-3(2)4(6)5(7)8/h3-4H,6H2,1-2H3,(H,7,8)/t4-/m0/s1/i1+1,2+1,3+1,4+1,5+1,6+1

InChI key

KZSNJWFQEVHDMF-XAFSXMPTSA-N

Application

L-Valine-13C5,15N is an isotopically labeled amino acid, wherein carbon and nitrogen atoms of L-valine are replaced by 13C5 and 15N isotopes. It can be used as an internal standard in the study of glucose metabolism and the quantitative determination of peptides.

Packaging

This product may be available from bulk stock and can be packaged on demand. For information on pricing, availability and packaging, please contact Stable Isotopes Customer Service.


Still not finding the right product?

Explore all of our products under L-缬氨酸-13C5,15N


存储类别

11 - Combustible Solids

wgk

WGK 1

flash_point_f

Not applicable

flash_point_c

Not applicable

ppe

dust mask type N95 (US), Eyeshields, Gloves



历史批次信息供参考:

分析证书(COA)

Lot/Batch Number

没有发现合适的版本?

如果您需要特殊版本,可通过批号或批次号查找具体证书。

已有该产品?

在文件库中查找您最近购买产品的文档。

访问文档库



全球贸易项目编号

货号GTIN
600148-1G04061826297704
600148-250MG04061832646640