跳转至内容
Merck
CN

913979

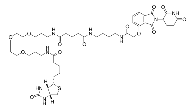
Biotin-Thalidomide

≥95%

别名:

N1-(4-(2-((2-(2,6-Dioxopiperidin-3-yl)-1,3-dioxoisoindolin-4-yl)oxy)acetamido)butyl)-N5-(15-oxo-19-((3aS,4S,6aR)-2-oxohexahydro-1H-thieno[3,4-d]imidazol-4-yl)-4,7,10-trioxa-14-azanonadecyl)glutaramide, Biotin-conjugated thalidomide, bio-Thal

登录 查看组织和合同定价。

选择尺寸

变更视图

关于此项目

经验公式(希尔记法):
C44H64N8O13S
化学文摘社编号:
分子量:
945.09
MDL number:
UNSPSC Code:
12352200
NACRES:
NA.22
Assay:
≥95%
Form:
powder
技术服务
需要帮助?我们经验丰富的科学家团队随时乐意为您服务。
让我们为您提供帮助


ligand

thalidomide

Quality Level

assay

≥95%

form

powder

storage temp.

−20°C

SMILES string

O=C(C(CC1)N(C2=O)C(C3=C2C=CC=C3OCC(NCCCCNC(CCCC(NCCCOCCOCCOCCCNC(CCCC[C@H]4[C@](NC(N5)=O)([H])[C@]5([H])CS4)=O)=O)=O)=O)=O)NC1=O

InChI

1S/C44H64N8O13S/c53-34(12-2-1-11-33-40-30(28-66-33)49-44(61)51-40)46-19-7-21-62-23-25-64-26-24-63-22-8-20-47-36(55)14-6-13-35(54)45-17-3-4-18-48-38(57)27-65-32-10-5-9-29-39(32)43(60)52(42(29)59)31-15-16-37(56)50-41(31)58/h5,9-10,30-31,33,40H,1-4,6-8,11-28

InChI key

UCTZYEDSVDZJQR-NTZPKYJMSA-N

Application

Biotin-Thalidomide (bio-Thal) is a cereblon affinity probe for PROTAC® and targeted protein degradation research. Bio-Thal can be used in cereblon (CRBN) binding and displacement assays for protein degrader validation experiments, CRBN ligand discovery, competition analyses, or where enrichment of CRBN complexes is required.

Automate your Biotin tagging with Synple Automated Synthesis Platform (SYNPLE-SC002)

Legal Information

PROTAC is a registered trademark of Arvinas Operations, Inc., and is used under license


存储类别

10 - Combustible liquids

wgk

WGK 3

flash_point_f

Not applicable

flash_point_c

Not applicable

法规信息

新产品

此项目有



历史批次信息供参考:

分析证书(COA)

Lot/Batch Number

没有发现合适的版本?

如果您需要特殊版本,可通过批号或批次号查找具体证书。

已有该产品?

在文件库中查找您最近购买产品的文档。

访问文档库



全球贸易项目编号

货号GTIN
913979-5MG04061842097555