跳转至内容
Merck
CN

850151P

Avanti

18:1 PI(4)P

Avanti Research - A Croda Brand

别名:

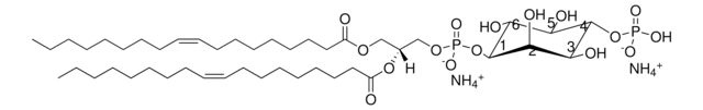
1,2-二油酰基-sn-甘油基-3-磷酸基-(1′-肌醇-4′-磷酸盐)(铵盐)

登录 查看组织和合同定价。

选择尺寸

变更视图

关于此项目

经验公式(希尔记法):
C45H90N2O16P2
化学文摘社编号:
分子量:
977.15
UNSPSC Code:
51191904
NACRES:
NA.25
技术服务
需要帮助?我们经验丰富的科学家团队随时乐意为您服务。
让我们为您提供帮助


产品名称

18:1 PI(4)P, Avanti Research - A Croda Brand 850151P, powder

assay

>99% (TLC)

form

powder

packaging

pkg of 1 × 100 μg (with stopper and crimp cap (850151P-100ug)), pkg of 1 × 500 μg (with stopper and crimp cap (850151P-500ug))

manufacturer/tradename

Avanti Research - A Croda Brand 850151P

lipid type

cardiolipins
phospholipids

shipped in

dry ice

storage temp.

−20°C

SMILES string

[H][C@@](COP([O-])(O[C@H]1[C@H](O)[C@@H](O)[C@H](OP([O-])(O)=O)[C@@H](O)[C@H]1O)=O)(OC(CCCCCCC/C=C\CCCCCCCC)=O)COC(CCCCCCC/C=C\CCCCCCCC)=O.[NH4+].[NH4+]

InChI

1S/C45H84O16P2.2H3N/c1-3-5-7-9-11-13-15-17-19-21-23-25-27-29-31-33-38(46)57-35-37(59-39(47)34-32-30-28-26-24-22-20-18-16-14-12-10-8-6-4-2)36-58-63(55,56)61-45-42(50)40(48)44(41(49)43(45)51)60-62(52,53)54;;/h17-20,37,40-45,48-51H,3-16,21-36H2,1-2H3,(H,55,5

InChI key

XDKQBHORSIMQSB-QVUMANCCSA-N

General description

18:1 PI(5)P(1,2-二油酰基-sn-甘油-3-磷酸-(1′-肌醇-4′-磷酸))是修饰脂质的铵盐,在二油酰基的9th碳上带有一个双键。4-磷酸磷脂酰肌醇(PI-4-P)是质膜中存在的丰富的磷酸肌醇物质。
肌醇磷脂物质是膜结合的信号分子,它参与细胞生理学的几乎所有方面,包括细胞生长、代谢、增殖和存活。

Application

18:1 PI(5)P(1,2-二油酰基-sn-甘油-3-磷酸-(1′-肌醇-4′-磷酸)(铵盐))已用于蛋白质−脂质覆盖测定。它可用于生成脂质体浮选分析用小型单层囊泡。它也可以用于不同的脂质结合特异性研究。

Biochem/physiol Actions

4-磷酸磷脂酰肌醇(PI-4-P)是膜运输、极化生长和细胞骨架组织所必需的重要因子。

Packaging

带塞子和压接盖的2 mL棕色血清瓶(850151P-100ug)
带塞子和压接盖的2 mL棕色血清瓶(850151P-500ug)

Legal Information

Avanti Research is a trademark of Avanti Polar Lipids, LLC


存储类别

11 - Combustible Solids

wgk

WGK 3

flash_point_f

No data available

flash_point_c

No data available



历史批次信息供参考:

分析证书(COA)

Lot/Batch Number

It looks like we've run into a problem, but you can still download Certificates of Analysis from our 文件 section.

如需帮助,请联系 客户支持

已有该产品?

在文件库中查找您最近购买产品的文档。

访问文档库



Chao-Yuan Yu et al.
Plant physiology, 183(1), 221-235 (2020-03-25)
Phosphoinositides function as lipid signals in plant development and stress tolerance by binding with partner proteins. We previously reported that Arabidopsis (Arabidopsis thaliana) phosphoinositide-specific phospholipase C2 functions in the endoplasmic reticulum (ER) stress response. However, the underlying molecular mechanisms of
Mark R Lundquist et al.
Molecular cell, 70(3), 531-544 (2018-05-05)
While the majority of phosphatidylinositol-4, 5-bisphosphate (PI-4, 5-P2) in mammalian cells is generated by the conversion of phosphatidylinositol-4-phosphate (PI-4-P) to PI-4, 5-P2, a small fraction can be made by phosphorylating phosphatidylinositol-5-phosphate (PI-5-P). The physiological relevance of this second pathway is
Lee Dolat et al.
The Journal of cell biology, 214(5), 517-527 (2016-08-24)
Macropinocytosis, the internalization of extracellular fluid and material by plasma membrane ruffles, is critical for antigen presentation, cell metabolism, and signaling. Macropinosomes mature through homotypic and heterotypic fusion with endosomes and ultimately merge with lysosomes. The molecular underpinnings of this



全球贸易项目编号

货号GTIN
850151P-100UG04061835229550
850151P-500UG04061835229567