登录 查看组织和合同定价。
选择尺寸
变更视图
关于此项目
经验公式(希尔记法):
C45H94N3O19P3
化学文摘社编号:
分子量:
1074.16
MDL number:
UNSPSC Code:
51191904
NACRES:
NA.25
产品名称
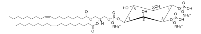
PI (3,4) P2:18:1, 1,2-dioleoyl-sn-glycero-3-phospho-(1′-myo-inositol-3′,4′-bisphosphate) (ammonium salt), powder
assay
>99% (TLC)
form
powder
packaging
pkg of 1 × 100 μg (with stopper and crimp cap (850153P-100ug)), pkg of 1 × 500 μg (with stopper and crimp cap (850153P-500ug))
manufacturer/tradename
Avanti Research™ - A Croda Brand 850153P
lipid type
phospholipids
cardiolipins
shipped in
dry ice
storage temp.
−20°C
SMILES string
[H][C@@](COP(O[C@H]1[C@H](O)[C@@H](O)[C@H](OP(O)([O-])=O)[C@@H](OP(O)([O-])=O)[C@H]1O)([O-])=O)(OC(CCCCCCC/C=C\CCCCCCCC)=O)COC(CCCCCCC/C=C\CCCCCCCC)=O.[NH4+].[NH4+].[NH4+]
General description
18:1 PI(3,4)P2(1,2-二油酰基-sn-甘油-3-磷酸-(1′-肌醇-3′,4′-二磷酸))是修饰脂质的铵盐。
肌醇磷脂物质是膜结合的信号分子,它参与细胞生理学的几乎所有方面,包括细胞生长、代谢、增殖和存活。
Application
18:1 PI(3,4)P2(1,2-二油酰基-sn-甘油-3-磷酸-(1′-肌醇-3′,4′-二磷酸)(铵盐))已用于:
- 脂质体/支持的脂质双分子层制备
- 脂质体共沉淀
- 阴离子磷脂脂质体的制备
Biochem/physiol Actions
PI(3,4)P2可以充当脂质第二信使。在肥大细胞中,PI(3,4)P2在Ser473位点的蛋白激酶B(PKB)磷酸化中起关键作用。
Packaging
带塞子和压接盖的2 mL棕色血清瓶(850153P-100ug)
带塞子和压接盖的2 mL棕色血清瓶(850153P-500ug)
Legal Information
Avanti Research is a trademark of Avanti Polar Lipids, LLC
存储类别
11 - Combustible Solids
Yelena Ugolev et al.
The Journal of biological chemistry, 283(32), 22257-22271 (2008-05-29)
Rac plays a pivotal role in the assembly of the superoxide-generating NADPH oxidase of phagocytes. In resting cells, Rac is found in the cytosol in complex with Rho GDP dissociation inhibitor (RhoGDI). NADPH oxidase assembly involves dissociation of the Rac.RhoGDI
Gerald R V Hammond et al.
Science (New York, N.Y.), 337(6095), 727-730 (2012-06-23)
The quantitatively minor phospholipid phosphatidylinositol (4,5)-bisphosphate [PI(4,5)P(2)] fulfills many cellular functions in the plasma membrane (PM), whereas its synthetic precursor, phosphatidylinositol 4-phosphate (PI4P), has no assigned PM roles apart from PI(4,5)P(2) synthesis. We used a combination of pharmacological and chemical
全球贸易项目编号
| 货号 | GTIN |
|---|---|
| 850153P-500UG | 04061835229604 |
| 850153P-100UG | 04061835229598 |