登录 查看组织和合同定价。
选择尺寸
变更视图
关于此项目
经验公式(希尔记法):
C45H94N3O19P3
化学文摘社编号:
分子量:
1074.16
MDL number:
UNSPSC Code:
51191904
NACRES:
NA.25
description
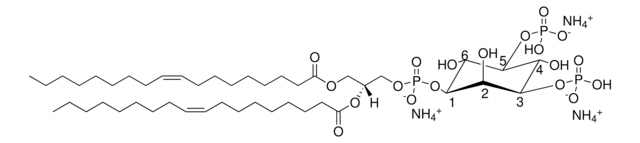
1,2-dioleoyl-sn-glycero-3-phospho-(1′-myo-inositol-3′,5′-bisphosphate) (ammonium salt)
assay
>99% (TLC)
form
powder
packaging
pkg of 1 × 100 μg (with stopper and crimp cap (850154P-100ug)), pkg of 1 × 500 μg (with stopper and crimp cap (850154P-500ug))
manufacturer/tradename
Avanti Research™ - A Croda Brand
lipid type
phospholipids
cardiolipins
shipped in
dry ice
storage temp.
−20°C
SMILES string
[H][C@@](COP([O-])(O[C@H]1[C@H](O)[C@@H](OP(O)([O-])=O)[C@H](O)[C@@H](OP([O-])(O)=O)[C@H]1O)=O)(OC(CCCCCCC/C=C\CCCCCCCC)=O)COC(CCCCCCC/C=C\CCCCCCCC)=O.[NH4+].[NH4+].[NH4+]
General description
磷脂酰肌醇3,5-二磷酸酯(PI(3,5)P2)是一种磷酸肌醇肌醇磷脂,主要存在于真菌和高等真核生物的内体和溶酶体膜中。
肌醇磷脂物质是膜结合的信号分子,它参与细胞生理学的几乎所有方面,包括细胞生长、代谢、增殖和存活。
Application
18:1 PI(3,5)P2(1,2-二油酰基-sn-甘油-3-磷酸-(1′-肌醇-3′,5′-双磷酸酯)(铵盐))可用于囊泡用于共沉降测定。它可用于:
- 脂质覆盖测定
- 脂质体共沉淀测定
- 脂质体浮选测定
Biochem/physiol Actions
磷脂酰肌醇3,5-双磷酸酯(PI(3,5)P2)的水平响应许多细胞外应激而激增。
Packaging
带塞子和压接盖的2 mL棕色血清瓶(850154P-100ug)
带塞子和压接盖的2 mL棕色血清瓶(850154P-500ug)
Legal Information
Avanti Research is a trademark of Avanti Polar Lipids, LLC
存储类别
11 - Combustible Solids
wgk
WGK 3
flash_point_f
No data available
flash_point_c
No data available
Sheena Claire Li et al.
Molecular biology of the cell, 25(8), 1251-1262 (2014-02-14)
Vacuolar proton-translocating ATPases (V-ATPases) are highly conserved, ATP-driven proton pumps regulated by reversible dissociation of its cytosolic, peripheral V1 domain from the integral membrane V(o) domain. Multiple stresses induce changes in V1-V(o) assembly, but the signaling mechanisms behind these changes
Markku Hakala et al.
The Journal of biological chemistry, 293(13), 4818-4829 (2018-02-10)
Membrane phosphoinositides control organization and dynamics of the actin cytoskeleton by regulating the activities of several key actin-binding proteins. Twinfilin is an evolutionarily conserved protein that contributes to cytoskeletal dynamics by interacting with actin monomers, filaments, and the heterodimeric capping
Bong-Kwan Han et al.
The Journal of biological chemistry, 288(28), 20633-20645 (2013-06-05)
Glucose/carbon metabolism is a fundamental cellular process in living cells. In response to varying environments, eukaryotic cells reprogram their glucose/carbon metabolism between aerobic or anaerobic glycolysis, oxidative phosphorylation, and/or gluconeogenesis. The distinct type of glucose/carbon metabolism that a cell carries
全球贸易项目编号
| 货号 | GTIN |
|---|---|
| 850154P-100UG | 04061835229611 |
| 850154P-500UG | 04061835229628 |