登录 查看组织和合同定价。
选择尺寸
变更视图
关于此项目
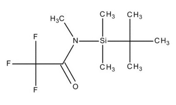
经验公式(希尔记法):
C9H18F3NOSi
化学文摘社编号:
分子量:
241.33
UNSPSC Code:
12352103
NACRES:
NA.22
MDL number:
Assay:
≥97.0% (GC)
Form:
liquid
assay
≥97.0% (GC)
form
liquid
transition temp
flash point 52 °C
density
1.03 g/cm3 at 20 °C
storage temp.
2-30°C
SMILES string
[Si](N(C)C(=O)C(F)(F)F)(CCCC)(C)C
InChI
1S/C9H18F3NOSi/c1-5-6-7-15(3,4)13(2)8(14)9(10,11)12/h5-7H2,1-4H3
InChI key
NEJIKZHUEMMAEF-UHFFFAOYSA-N
Analysis Note
Assay (GC, area%): ≥ 97.0 % (a/a)
Density (d 20 °C/ 4 °C): 1.034 - 1.039
Identity (IR): passes test
Density (d 20 °C/ 4 °C): 1.034 - 1.039
Identity (IR): passes test
signalword
Warning
hcodes
Hazard Classifications
Flam. Liq. 3
存储类别
3 - Flammable liquids
wgk
WGK 3
flash_point_f
113.0 °F - closed cup
flash_point_c
45 °C - closed cup
全球贸易项目编号
| 货号 | GTIN |
|---|---|
| 8142190005 | 04027269980313 |
| 8142190001 | 04022536409658 |
