Skip to Content
Merck
CN

935441

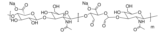
Aldehyde functionalized hyaluronic acid

Degree of functionalization ~20%

Synonym(s):

HA-A, Hyaluronic acid, Hyluronic acid aldehyde, Oxidized hyaluronic acid, Hyaluronic acid (HA) & derivatives

Sign In to View Organizational & Contract Pricing.

Select a Size

Change View

About This Item

Linear Formula:
(C14H20NNaO11)n(C14H18NNaO11)m
NACRES:
NA.28
UNSPSC Code:
12352201
Technical Service
Need help? Our team of experienced scientists is here for you.
Let Us Assist


Quality Level

form

powder or chunks (or fibers)

color

white to off-white

storage temp.

−20°C

General description

Hyaluronic acid (HA) is an important component of the natural extracellular matrix which plays a vital role in various cellular and tissue functions. It represents some unique properties such as excellent gel-forming properties and chemical modification ability through hydroxyl and carboxyl groups that make them potentially useful for their application in Tissue engineering. Partially oxidized hyaluronate (OHA) containing two highly aldehyde groups in the repeating unit of HA. The dialdehyde groups of OHA are capable of reductive coupling with primary amines and thus can be used in a wide range of chemical modifications of HA as hydrogel for tissue engineering applications and regenerative medicine drug delivery applications

Application

HA is increasingly used for a many biomedical applications because it promotes cell migration, angiogenesis, cell viability, and proliferation. Aldehyde functionalized HA can be used to develop hydrogels for tissue engineering, regenerative medicing, bioprinting, and drug delivery applications.

Features and Benefits

  • Coupling capabilities with primary amines
  • Biocompatible functionalized natural polymer
  • Promotes a variety of cellular and tissue functions


Still not finding the right product?


Storage Class

11 - Combustible Solids

wgk

WGK 3

flash_point_f

Not applicable

flash_point_c

Not applicable



Choose from one of the most recent versions:

Certificates of Analysis (COA)

Lot/Batch Number

It looks like we've run into a problem, but you can still download Certificates of Analysis from our Documents section.

If you need assistance, please contact Customer Support

Already Own This Product?

Find documentation for the products that you have recently purchased in the Document Library.

Visit the Document Library



Global Trade Item Number

SKUGTIN
935441-1G04065270514707