Skip to Content
Merck
CN

870714P

Avanti

14:0 Coenzyme A

Avanti Research - A Croda Brand

Synonym(s):

myristoyl Coenzyme A (ammonium salt)

Sign In to View Organizational & Contract Pricing.

Select a Size

Change View

About This Item

Empirical Formula (Hill Notation):
C35H71N10O17P3S
CAS Number:
Molecular Weight:
1028.98
MDL number:
UNSPSC Code:
12352211
NACRES:
NA.25
Technical Service
Need help? Our team of experienced scientists is here for you.
Let Us Assist


Product Name

14:0 Coenzyme A, Avanti Research - A Croda Brand 870714P, powder

assay

>99% (TLC)

form

powder

packaging

pkg of 1 × 5 mg (870714P-5mg)

manufacturer/tradename

Avanti Research - A Croda Brand 870714P

application(s)

lipidomics

lipid type

coenzymes

shipped in

dry ice

storage temp.

−20°C

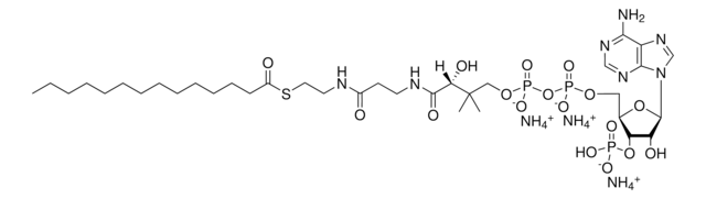
SMILES string

O[C@@](C(NCCC(NCCSC(CCCCCCCCCCCCC)=O)=O)=O)(C(C)(COP([O-])(OP([O-])(OC[C@H]([C@H]1OP([O-])(O)=O)O[C@H]([C@@H]1O)N2C3=C(C(N)=NC=N3)N=C2)=O)=O)C)[H].[NH4+].[NH4+].[NH4+]

InChI

1S/C35H62N7O17P3S.3H3N/c1-4-5-6-7-8-9-10-11-12-13-14-15-26(44)63-19-18-37-25(43)16-17-38-33(47)30(46)35(2,3)21-56-62(53,54)59-61(51,52)55-20-24-29(58-60(48,49)50)28(45)34(57-24)42-23-41-27-31(36)39-22-40-32(27)42;;;/h22-24,28-30,34,45-46H,4-21H2,1-3H3,(H,37,43)(H,38,47)(H,51,52)(H,53,54)(H2,36,39,40)(H2,48,49,50);3*1H3/t24-,28?,29+,30+,34-;;;/m1.../s1

InChI key

DSAPDQDCGNIALG-YNLIGXKZSA-N

General description

14:0 Coenzyme A, also known as myristoyl coenzyme A, is a coenzyme A derivative of myristic acid. 14:0 Coenzyme A is a long-chain acyl CoA.

Application

14:0 Coenzyme A may be used as a standard in quantitative ultraperformance liquid chromatography-tandem mass spectrometry (UPLC-MS/MS) method for simultaneous analysis of tissue long-chain acyl-CoA (LCACoA) concentration.

Biochem/physiol Actions

14:0 Coenzyme A is an important lipid metabolite. It acts as a N-myristoyltransferase substrate during myristoylation. Myristoylation is a protein lipid modification involving the addition of myristoyl group to proteins either during translation to modify protein activity or post-translationally in apoptotic cells.

Packaging

5 mL Amber Glass Screw Cap Vial (870714P-5mg)

Legal Information

Avanti Research is a trademark of Avanti Polar Lipids, LLC


Storage Class

11 - Combustible Solids



Choose from one of the most recent versions:

Certificates of Analysis (COA)

Lot/Batch Number

It looks like we've run into a problem, but you can still download Certificates of Analysis from our Documents section.

If you need assistance, please contact Customer Support

Already Own This Product?

Find documentation for the products that you have recently purchased in the Document Library.

Visit the Document Library



R S Bhatnagar et al.
Biochimica et biophysica acta, 1441(2-3), 162-172 (1999-11-26)
Protein N-myristoylation is a covalent modification that occurs co-translationally in eukaryotes. Myristate, a rare 14 carbon saturated fatty acid (C14:0), is attached, via an amide linkage, to the N-terminal glycine of a subset of eukaryotic and viral proteins by myristoyl-CoA:protein
Agnieszka U Blachnio-Zabielska et al.
Rapid communications in mass spectrometry : RCM, 25(15), 2223-2230 (2011-07-08)
Long-chain acyl-coenzymes A (acyl-CoAs) (LCACoA) are the activated forms of long-chain fatty acids and serve as key lipid metabolites. Excess accumulation of intracellular LCACoA, diacylglycerols (DAGs) and ceramides may create insulin resistance with respect to glucose metabolism. We present a



Global Trade Item Number

SKUGTIN
870714P-5MG04061835187126