Skip to Content
Merck
CN

914738

KB02-SLF

≥95%

Synonym(s):

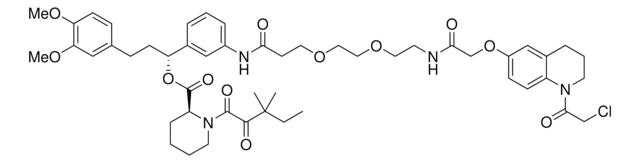
(R)-1-(3-(3-(2-(2-(2-((1-(2-Chloroacetyl)-1,2,3,4-tetrahydroquinolin-6-yl)oxy)acetamido)ethoxy)ethoxy)propanamido)phenyl)-3-(3,4-dimethoxyphenyl)propyl (S)-1-(3,3-dimethyl-2-oxopentanoyl)piperidine-2-carboxylate, Electrophilic PROTAC®, Heterobifunctional conjugate for E3 ubiquitin ligase discovery

Sign In to View Organizational & Contract Pricing.

Select a Size

Change View

About This Item

Empirical Formula (Hill Notation):
C50H65ClN4O12
CAS Number:
Molecular Weight:
949.52
MDL number:
UNSPSC Code:
12352200
NACRES:
NA.22
Assay:
≥95%
Form:
powder
Technical Service
Need help? Our team of experienced scientists is here for you.
Let Us Assist


ligand

electrophilic fragment

Quality Level

assay

≥95%

form

powder

storage temp.

−20°C

SMILES string

O=C(CCl)N1CCCC2=CC(OCC(NCCOCCOCCC(NC3=CC=CC([C@H](OC([C@@H]4CCCCN4C(C(C(C)(C)CC)=O)=O)=O)CCC5=CC(OC)=C(OC)C=C5)=C3)=O)=O)=CC=C21

InChI

1S/C50H65ClN4O12/c1-6-50(2,3)47(59)48(60)55-23-8-7-14-40(55)49(61)67-41(19-15-34-16-20-42(62-4)43(29-34)63-5)36-11-9-13-37(30-36)53-44(56)21-25-64-27-28-65-26-22-52-45(57)33-66-38-17-18-39-35(31-38)12-10-24-54(39)46(58)32-51/h9,11,13,16-18,20,29-31,40-41H

InChI key

OKJBKEQXKMMRPL-WVILEFPPSA-N

Application

KB02-SLF is an electrophilic PROTAC developed in the Cravatt lab and is useful for the discovery of ligandable E3 ligases, an area of interest for the targeted protein degradation (TPD) field seeking to map out and utilize a larger repertoire of the available human E3 ligases. This bifunctional tool compound comprises a synthetic ligand for FKBP12 (SLF) on one end and scout fragment 912131 on the other end. Scout fragments are electrophiles that covalently modify targetable cysteine residues on proteins, an approach that has been scaled to globally quantitate Cys reactivity across human proteomes and cells. When SLF and the electrophilic fragment are fused together, monitoring the levels of FKBP12 in cells may indicate scout-mediated FKBP12 degradation, for which follow-up studies would validate the mechanism of FKPB12 depletion and any targets to which the scout fragment is covalently bound. Scout-bound proteins leading to FKBP12 (or other targets) depletion discovered by this strategy will further expand the communal TPD toolbox. Due to the reactive nature of the scout fragment, other proteins will also be modified, so careful controls and validation should be considered.

This proteomic approach to E3 discovery was demonstrated by Zhang et al in the discovery that DCAF16 mediated nuclear FKBP12 degradation via KB02-SLF.

Additional electrophilic PROTACs were developed incorporating scout fragments with broad cysteine reactivity:
  • KB03-SLF (914975) containing chloroacetamide scout fragment 912654
  • KB05-SLF (913715) containing acrylamide scout fragment 911798


Related tools:
  • Additional bifunctional tools for FKPB12 variants: dTAG-13 (SML2601 for FKBP12F36V) and Biotin-SLF (914223 for FKBP12)
  • Inhibitors useful in validation of proteasomal-mediated degradation: MG123 (SML1135) and MLN4924 (5.05477for Cullin-RING ubiquitin ligases that regulate neddylation of Cullin proteins)
  • Cereblon (CRBN) affinity probe: Biotin-Thalidomide (913979)

Legal Information

PROTAC is a registered trademark of Arvinas Operations, Inc., and is used under license


Storage Class

11 - Combustible Solids

wgk

WGK 3

flash_point_f

Not applicable

flash_point_c

Not applicable

Regulatory Information

新产品

This item has



Choose from one of the most recent versions:

Certificates of Analysis (COA)

Lot/Batch Number

It looks like we've run into a problem, but you can still download Certificates of Analysis from our Documents section.

If you need assistance, please contact Customer Support

Already Own This Product?

Find documentation for the products that you have recently purchased in the Document Library.

Visit the Document Library



Global Trade Item Number

SKUGTIN
914738-5MG04061842093700