Sign In to View Organizational & Contract Pricing.
Select a Size
Change View
About This Item
Empirical Formula (Hill Notation):
C39H53N5O9S · xHCl
Molecular Weight:
767.93 (free base basis)
MDL number:
UNSPSC Code:
12352200
NACRES:
NA.22
Form:
solid
ligand
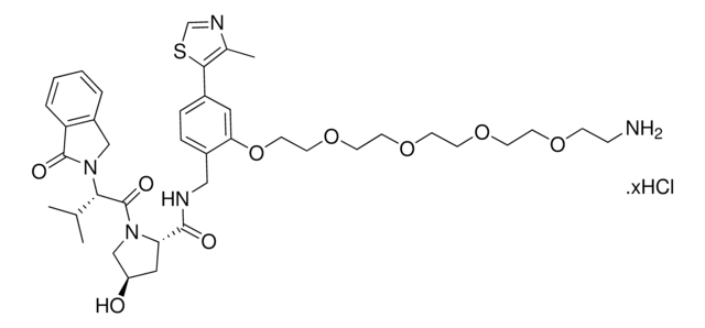
VL285 phenol
Quality Level
form
solid
reaction suitability
reactivity: carboxyl reactive, reagent type: ligand-linker conjugate
functional group
amine
storage temp.
2-8°C
SMILES string
O=C1N([C@H](C(N(C2)[C@H](C(NCC3=CC=C(C=C3OCCOCCOCCOCCOCCN)C(SC=N4)=C4C)=O)C[C@H]2O)=O)C(C)C)CC5=C1C=CC=C5.Cl
InChI key
WAOFVRRJKKKFIU-GJMJWEODSA-N
Application
Protein degrader building block (S,R,S)-VL285 Phenol-PEG4-NH2 hydrochloride enables the synthesis of molecules for targeted protein degradation and PROTAC (proteolysis-targeting chimeras) technology. This conjugate contains a von Hippel-Lindau (VHL)-recruiting ligand with alternative exit vector from the widely used VH032 (901490), a PEG linker, and a pendant amine for reactivity with a carboxylic acid on the target ligand. Because even slight alterations in ligands and crosslinkers can affect ternary complex formation between the target, E3 ligase, and PROTAC, many analogs are prepared to screen for optimal target degradation. When used with other protein degrader building blocks with a terminal amine, parallel synthesis can be used to more quickly generate PROTAC libraries that feature variation in crosslinker length, composition, and E3 ligase ligand.
Automate your VHL-PEG based PROTACs with Synple Automated Synthesis Platform (SYNPLE-SC002)
Automate your VHL-PEG based PROTACs with Synple Automated Synthesis Platform (SYNPLE-SC002)
Other Notes
Technology Spotlight: Degrader Building Blocks for Targeted Protein Degradation
Portal: Building PROTAC® Degraders for Targeted Protein Degradation
Targeted Protein Degradation by Small Molecules
Targeted Protein Degradation: from Chemical Biology to Drug Discovery
HaloPROTACS: Use of Small Molecule PROTACs to Induce Degradation of HaloTag Fusion Proteins
Differential PROTAC substrate specificity dictated by orientation of recruited E3 ligase
Portal: Building PROTAC® Degraders for Targeted Protein Degradation
Targeted Protein Degradation by Small Molecules
Targeted Protein Degradation: from Chemical Biology to Drug Discovery
HaloPROTACS: Use of Small Molecule PROTACs to Induce Degradation of HaloTag Fusion Proteins
Differential PROTAC substrate specificity dictated by orientation of recruited E3 ligase
Legal Information
PROTAC is a registered trademark of Arvinas Operations, Inc., and is used under license
Storage Class
11 - Combustible Solids
wgk
WGK 3
flash_point_f
Not applicable
flash_point_c
Not applicable
Regulatory Information
新产品
This item has
Choose from one of the most recent versions:
Already Own This Product?
Find documentation for the products that you have recently purchased in the Document Library.
Articles
Protein Degrader Building Blocks are a collection of crosslinker-E3 ligand conjugates with a pendant functional group for covalent linkage to a target ligand.
Daniel P Bondeson et al.
Annual review of pharmacology and toxicology, 57, 107-123 (2016-10-13)
Protein homeostasis networks are highly regulated systems responsible for maintaining the health and productivity of cells. Whereas therapeutics have been developed to disrupt protein homeostasis, more recently identified techniques have been used to repurpose homeostatic networks to effect degradation of
Dennis L Buckley et al.
ACS chemical biology, 10(8), 1831-1837 (2015-06-13)
Small molecule-induced protein degradation is an attractive strategy for the development of chemical probes. One method for inducing targeted protein degradation involves the use of PROTACs, heterobifunctional molecules that can recruit specific E3 ligases to a desired protein of interest.
Global Trade Item Number
| SKU | GTIN |
|---|---|
| 920886-50MG | 04065266258769 |