Skip to Content
Merck
CN

905232

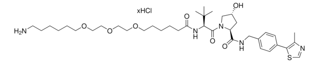
(S,R,S)-AHPC-C6-PEG3-butyl amine hydrochloride

≥95%

Synonym(s):

(2S,4R)-1-((S)-22-Amino-2-(tert-butyl)-4-oxo-10,13,16-trioxa-3-azadocosanoyl)-4-hydroxy-N-(4-(4-methylthiazol-5-yl)benzyl)pyrrolidine-2-carboxamide, (S,R,S)-AHPC-6-2-2-6-NH2 HCl salt, Crosslinker−E3 ligase ligand conjugate, Protein degrader building block for PROTAC® research, Template for synthesis of targeted protein degrader, VH032 conjugate

Sign In to View Organizational & Contract Pricing.

Select a Size

Change View

About This Item

Empirical Formula (Hill Notation):
C38H61N5O7S · xHCl
Molecular Weight:
731.99 (free base basis)
MDL number:
UNSPSC Code:
12352101
NACRES:
NA.22
Technical Service
Need help? Our team of experienced scientists is here for you.
Let Us Assist


ligand

VH032

assay

≥95%

form

powder or crystals

reaction suitability

reactivity: carboxyl reactive, reagent type: ligand-linker conjugate

functional group

amine

storage temp.

2-8°C

SMILES string

NCCCCCCOCCOCCOCCCCCC(N[C@H](C(N1[C@H](C(NCC2=CC=C(C3=C(C)N=CS3)C=C2)=O)C[C@@H](O)C1)=O)C(C)(C)C)=O.Cl

InChI

1S/C38H61N5O7S.ClH/c1-28-34(51-27-41-28)30-15-13-29(14-16-30)25-40-36(46)32-24-31(44)26-43(32)37(47)35(38(2,3)4)42-33(45)12-8-7-11-19-49-21-23-50-22-20-48-18-10-6-5-9-17-39;/h13-16,27,31-32,35,44H,5-12,17-26,39H2,1-4H3,(H,40,46)(H,42,45);1H/t31-,32+,35-;/

InChI key

AROZTUBYMZDNDZ-PRVWZYNMSA-N

Application

Protein degrader builiding block (S,R,S)-AHPC-C6-PEG3-butyl amine (HCl salt) enables the synthesis of molecules for targeted protein degradation and PROTAC (proteolysis-targeting chimeras) technology. This conjugate contains a von Hippel-Lindau (VHL)-recruiting ligand, a linker with both hydrophobic and hydrophilic moieties, and a pendant amine for reactivity with a carboxyl group on the target ligand. Because even slight alterations in ligands and crosslinkers can affect ternary complex formation between the target, E3 ligase, and PROTAC, many analogs are prepared to screen for optimal target degradation. When used with other protein degrader building blocks with a pendant amine, parallel synthesis can be used to more quickly generate PROTAC libraries that feature variation in crosslinker length, composition, and E3 ligase ligand.

Automate your VHL-PEG based PROTACs with Synple Automated Synthesis Platform (SYNPLE-SC002)

Legal Information

PROTAC is a registered trademark of Arvinas Operations, Inc., and is used under license


Storage Class

11 - Combustible Solids

flash_point_f

Not applicable

flash_point_c

Not applicable



Choose from one of the most recent versions:

Certificates of Analysis (COA)

Lot/Batch Number

Don't see the Right Version?

If you require a particular version, you can look up a specific certificate by the Lot or Batch number.

Already Own This Product?

Find documentation for the products that you have recently purchased in the Document Library.

Visit the Document Library


Articles

Protein Degrader Building Blocks are a collection of crosslinker-E3 ligand conjugates with a pendant functional group for covalent linkage to a target ligand.


Momar Toure et al.
Angewandte Chemie (International ed. in English), 55(6), 1966-1973 (2016-01-13)
The current inhibitor-based approach to therapeutics has inherent limitations owing to its occupancy-based model: 1) there is a need to maintain high systemic exposure to ensure sufficient in vivo inhibition, 2) high in vivo concentrations bring potential for off-target side effects, and 3) there is
Daniel P Bondeson et al.
Annual review of pharmacology and toxicology, 57, 107-123 (2016-10-13)
Protein homeostasis networks are highly regulated systems responsible for maintaining the health and productivity of cells. Whereas therapeutics have been developed to disrupt protein homeostasis, more recently identified techniques have been used to repurpose homeostatic networks to effect degradation of
Kedra Cyrus et al.
Molecular bioSystems, 7(2), 359-364 (2010-10-06)
Conventional genetic approaches have provided a powerful tool in the study of proteins. However, these techniques often preclude selective manipulation of temporal and spatial protein functions, which is crucial for the investigation of dynamic cellular processes. To overcome these limitations